
油液分析是最早发现问题的分析参量,因为风机运作一定存在摩擦,摩擦导致物质交换形成颗粒、油泥等等,会改变油液的性能状态,因此通过分析油液的参数,即可以及早的发现风机问题,将问题消灭于萌芽之中。
不同运行状态对应不同的油液特征,早期可以利用油品分析仪检测润滑油和液压,通过粘度、颗粒特征、水分含量等观察出机械的变化趋势,及早发现齿轮箱和动机前期故障,按需换油、保养,有效减免成本。
粘度是表示油液流动时分子间摩擦阻力 的大小。粘度过大时会增加管路中的输送阻力,工作过程中能量损失增加,主机空载损失加大,温升快且工作温度高,在主泵吸油端可能出现“空穴”现象。粘度过小时则不能保证工程机械良好的润滑条件,加剧零部件的磨损且系统泄漏增加,引起油泵容积效率下降。
由于油液粘度本身随油温的而变化(见下图),不能直接用所测的粘度进行比较,根据国家标准规定的液压油换油指标,一般用40℃的粘度来比较。对于一般工程机械中使用L-HM 型液压油,当使用中的油液40℃粘度与新油粘度相比,变化范围超出+15%~-10%时即应换油。
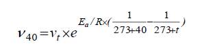
油液的运动粘度与油温的变化关系基本符合Arrhenius 公式,即

其中,v 为运动粘度,A 为指数前因子, a E 为流体活化能,R=8.314J /(mol•K ),T 为热力学温度。
因此,根据粘度传感器实时监测到的粘度t v 和温度t ,然后通过下列计算式

即可计算出40℃的粘度。

系统记录新油粘度和通过传感器实时监测数据计算所得粘度作差得到粘度变化值,从而对油液老化变质和污染情况进行诊断。
(2)介电常数监测子系统
根据油液介电常数随其水分含量、磨损颗粒及酸值变化而变化的特性,利用电容传感器实时监测其介电常数的变化情况,从而分析出油液中水分含量情况、磨损颗粒情况及酸值变化情况。介电常数监测子系统的显著优点是可以监测油液的综合性能,从整体上把握油液老化和污染情况。
油液介电常数与水分、磨损颗粒及酸值变化关系如下:

随着油液水分增加、磨损颗粒及酸值增加,其介电常数均增大,而且与磨损颗粒量的灵敏度最高,而磨损颗粒恰是引起液压系统损坏的最主要原因。通过监测在用油液的介电常数并与新油介电常数进行比较,介电常数变化超过一定范围即可判断磨损或水分超出范围,需要进行维修或换油。
随着油液温度变化,其介电常数也将发生少量变化,为了减少温度变化引起的误差,需要对温度进行补偿。介电常数随温度的变化关系符合下式:

其中,ε为介电常数,T 为热力学温度, βν为油液体膨胀系数。
为了比较方便,将任意温度的介电常数统一换算到20℃,换算公式如下:

其中t为摄氏温度,εt为实时监测的介电常数。根据计算出的结果与新油20℃的介电常数进行比较,如果偏大则说明油液污染情况比较严重,如果偏小则说明油中混有气泡或者其它油。
该系统可即时查看油液介电常数的变化情况并给出参考诊断意见,系统中已存储推荐的诊断标准,还可以根据用户的主要污染情况和使用要求进行定制。
最新资讯文章